Dissecting the moat regime at low energies

Shi Yin (尹诗)

CPOD 2026, CERN

Based on:
1. Fabian Rennecke and SY, arXiv:2510.06712
2. Fabian Rennecke and SY, in preparation
3. Wei-jie Fu, Jan M. Pawlowski, Robert D. Pisarski, Fabian Rennecke, Rui Wen and SY, Phys.Rev.D 111 (2025) 9, 094026

Outline


  • Moat regime on the QCD phase diagram

  • Mechanism of the moat regime

  • Connection to experimental observables

  • Summary and Outlook

Moat regime on QCD phase diagram

not computed
Zero-momentum approximation for matter sector
Fu, Huang, Pawlowski, Rennecke, Wen, SY
arXiv: 2603.13455
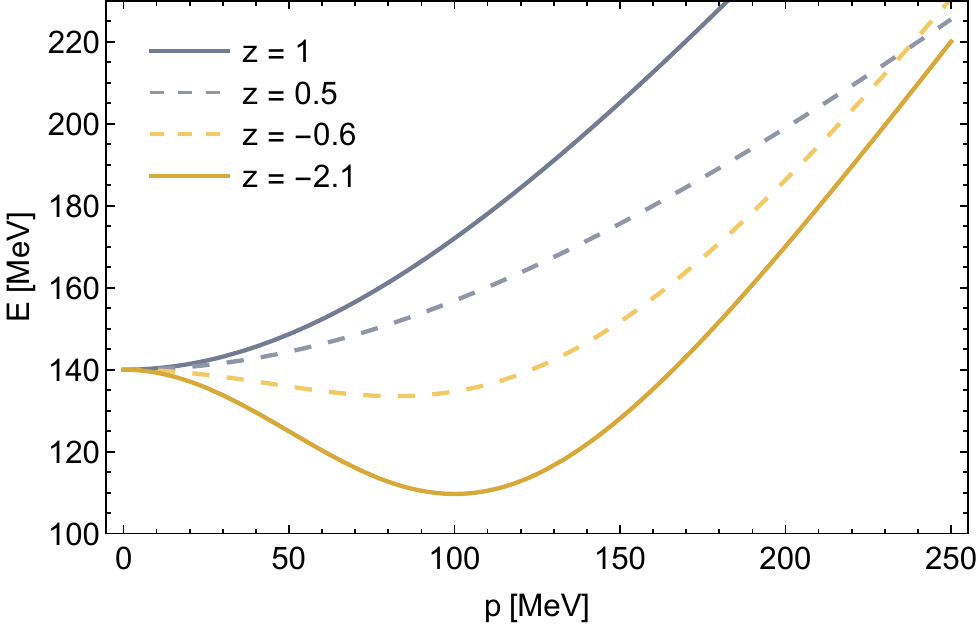
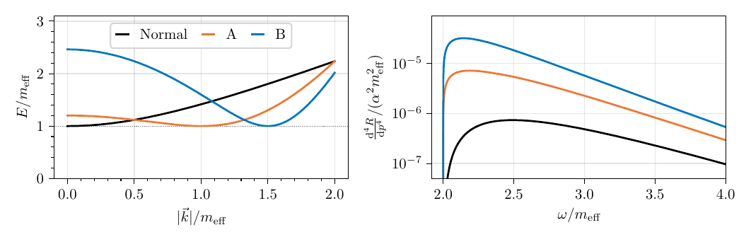
Static energy of pion
\[ E_\pi(\bold{p}) = \sqrt{Z^{\perp}_\pi\,\bold{p}^2 + m_{\pi}^2} \]
Fu, Pawlowski, Pisarski, Rennecke, Wen, SY, arXiv: 2510.06712
\[ Z^{\perp}_\pi(p=0)>0 \]
\[ Z^{\perp}_\pi(p=0)<0 \]

Moat regime on QCD phase diagram

Full-momentum dependent correlation functions
Moat
Inhomogeneous
Pawlowski, Rennecke, Sattler, arXiv: 2512.20510
See Franz's talk, tomorrow 15:00

Outline


  • Moat regime on the QCD phase diagram

  • Mechanism of the moat regime

  • Connection to experimental observables

  • Summary and Outlook

Mechanism of the moat regime

Quark-Meson model
\[ \begin{aligned} \mathcal{L}[\phi,q,\bar{q}]&=\bar{q}\big[\gamma_\mu\partial_\mu-\gamma_0 \hat{\mu}\big]q+\frac{1}{2}\,(\partial_\mu\phi)^2\\[2ex] &\quad+h\,\bar{q}(T^0\sigma+i\gamma_5\mathbf{T}\cdot\boldsymbol{\pi})q+U(\rho)-c\sigma\\[2ex] &\quad+ \mathcal{L}_{\rm ct}\,. \end{aligned} \]
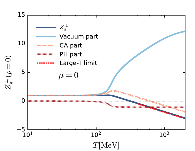
\[ \begin{aligned} \Sigma_\pi(p^2;T,\mu)=p^2+m^2_\pi+\Pi^\pi_{\mathrm{RPA}}(p^2;T,\mu) \end{aligned} \]
\[ \begin{aligned} Z^\perp_\pi(T,\mu)=\frac{\partial \Sigma_\pi(p^2;T,\mu)}{\partial \bold{p}^2}\bigg|_{p_0=0,\bold{p}=0} \end{aligned} \]
Moat regime in QM model
Rennecke, SY, arXiv: 2510.06712

Mechanism of the moat regime

Self-energy
Particle Creation and Annihilation (C.A.)
\[ \begin{aligned} \frac{-1+n_F(E_q(q);T,\pm\mu)+n_F(E_q(q-p);T,\mp\mu)}{E_q(q)+E_q(q-p)} \end{aligned} \]
Particle-Hole fluctuation (P.H.) / Landau damping
\[ \begin{aligned} \frac{n_F(E_q(q);T,\pm\mu)-n_F(E_q(q-p);T,\pm\mu)}{E_q(q)-E_q(q-p)} \end{aligned} \]
Dirac cone
C.A.
P.H.
Fu, Pawlowski, Pisarski, Rennecke, Wen, SY, arXiv: 2510.06712
C.A.
P.H.
Screening effect!

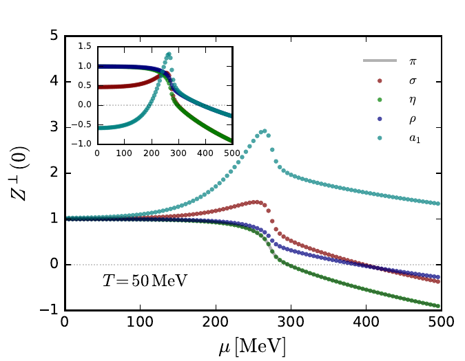
Moat regime of other mesons

Quark-Meson interaction of heavier mesons
\[ \begin{aligned} &\sigma \sim h_\sigma\,\bar{q}\,T^0\,\sigma\, q\\[2ex] &\eta \sim h_\eta\,\bar{q}\,T^0\,i\gamma_5 \eta\, q\\[2ex] &\rho \sim h_\rho\,\bar{q}\,\bold{T}\,\gamma_\mu\rho^\mu\, q\\[2ex] &a_1 \sim h_{a_1}\,\bar{q}\,\bold{T}\,i\gamma_\mu\gamma_5\,a_1^\mu\, q \end{aligned} \]
All tend towards a moat regime due to the similar structure of self-energy
Rennecke, SY, in preparation

Outline


  • Moat regime on the QCD phase diagram

  • Mechanism of the moat regime

  • Connection to experimental observables

  • Summary and Outlook

Possible Observables

Dilepton production rate
Enhancement
Nussinov, Ogilvie, Pannullo, Pisarski, Rennecke, Schindler, Winstel, Phys.Rev.Lett. 135 (2025) 10, 101904
HBT interferometry
Peak
Rennecke, Pisarski, Rischke, Phys.Rev.D 107 (2023) 11, 116011
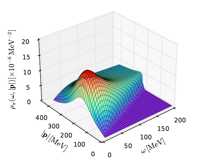
\[ \rho_\pi(\omega,\bold{p}) \sim \delta(\omega-E_{\mathrm{moat}}) \]

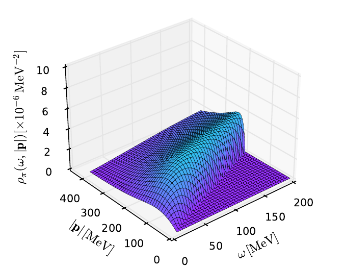
Time-like behavior of the spectral function

Spectral function of Pion

Pole mass
Space-like peak
Decay to two quarks
Rennecke, SY, in preparation

Spectral function of Pion from fRG-QCD

Space-like Peak
Fu, Pawlowski, Pisarski, Rennecke, Wen, SY, arXiv: 2510.06712

Outline


  • Moat regime on the QCD phase diagram

  • Mechanism of the moat regime

  • Connection to experimental observables

  • Summary and Outlook

Summary and Outlook


  • The properties of the moat regime are investigated in a Quark-Meson model

  • C.A. and P.H. fluctuations in the self-energy are identified as the driving mechanisms for the moat regime.

  • Our findings suggest that the moat regime could extend to heavier mesonic sectors.

  • The space-like peak of the pion spectral function (both model and QCD results) are enhanced by moat and it may affect the heavy ion observables.

  • HBT interferometry and dilepton production rate will be computed in the moat regime.

Back up: Spectral function of Pion


QM model results
\[ T = 155 \,\mathrm{MeV} \,\,\mu=0 \]
\[ T = 50 \,\mathrm{MeV} \,\,\mu= 280 \,\mathrm{MeV} \]
fRG-QCD results
\[ T = 160 \,\mathrm{MeV} \,\,\mu=0 \]
\[ T = 114 \,\mathrm{MeV} \,\,\mu= 210 \,\mathrm{MeV} \]

Back up: C.A. & P.H. fluctuations


Back up: fluctuations of Yukawa coupling


Yukawa coupling at finite T

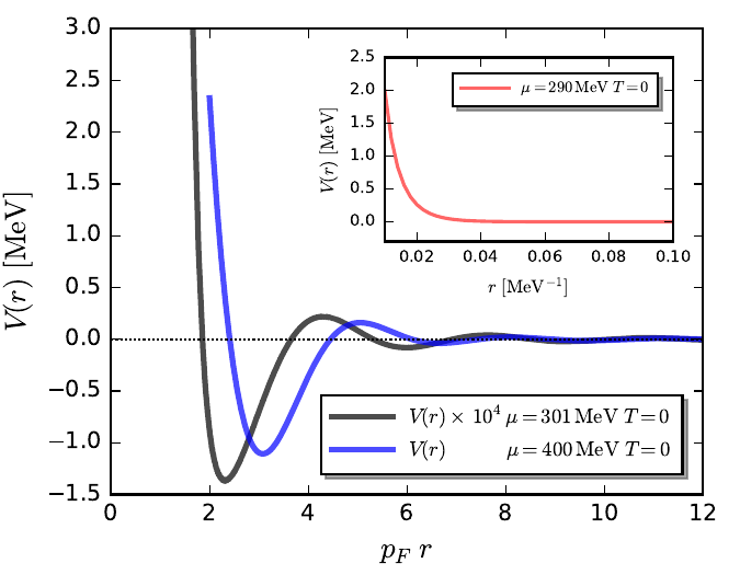
Back up: Friedel oscillations vs moat pole


\[ \begin{aligned} V(r)=\frac{h^2}{2\pi^2r}\int^\infty_0dp\,\frac{p\,\mathrm{sin}(p\,r)}{\Sigma_\phi(p)} \end{aligned} \]
Principle Riemann sheet
Second Riemann sheet